NextSDS Logo
Chemical Substance

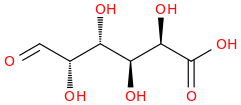
L-GALACTURONIC ACID

CAS Number108729-78-8
Molecular FormulaC6H10O7
Manage Your Chemicals

Track substances, monitor regulatory changes, and stay compliant.

Try NextSDS Free

Identifiers

Cas Number108729-78-8Primary
Chemical NameL-GALACTURONIC ACID

Scan your chemical compliance

Free 10-second scan. Upload a document and check compliance instantly.

Scan Now

Related Substances

Disclaimer

The substance data provided is sourced from various third-party databases and regulatory sources. While we strive to maintain accuracy, we cannot guarantee the completeness, accuracy, or timeliness of this information. Users are responsible for verifying all data before use in compliance, safety, or regulatory contexts. NextSDS is not liable for any decisions made based on this data.

Compliance Scanner

Upload & scan your compliance