NextSDS Logo
Chemical Substance

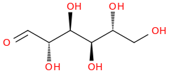
D-mannose

CAS Number3458-28-4
EC Number222-392-4
Molecular FormulaC6H12O6
Screen your chemical compliance

Free 10-second scan. Upload a document and check compliance instantly.

Scan Now

Identifiers

Cas Number3458-28-4Primary
Ec Number222-392-4
Chemical NameD-(+)-Mannose
Chemical NameD-Mannose
Chemical NameD-mannose

Hazard Classifications

Not Classified
Warning
Hazard CodeH208
Category
Source: REACH registration C&L

Manage Your Chemicals

Track substances, monitor regulatory changes, and stay compliant.

Try NextSDS Free

Related Substances

Disclaimer

The substance data provided is sourced from various third-party databases and regulatory sources. While we strive to maintain accuracy, we cannot guarantee the completeness, accuracy, or timeliness of this information. Users are responsible for verifying all data before use in compliance, safety, or regulatory contexts. NextSDS is not liable for any decisions made based on this data.